IMG_8368.jpg

Publications

All Publications

2025

338. Predicted Molecules Followed by Experimental Validation for Protecting Human Neurons from Oxidative Stress–Induced Cytotoxicity

Xuyu Yang, Joo-Youn Lee, Farbod Moghadam, Joseph Steiner, Soo-Kyung Kim, Neha Ganjur, Adrian J. de Almenara, Brian M. Stoltz, Y. Peng Loh, and William A. Goddard III. Proc. Natl. Acad. Sci. U. S. A. 2025, 122, e2505359122.

 
 

337. Preparation and Regioselective Ring Opening Reactions of Fused Bicyclic N-Aryl Aziridines

Elliot F. Hicks, Leanne M. Fuentes Ruiz, Bryce E. Gaskins, Michael K. Takase, and Brian M. Stoltz. J. Org. Chem. 2025, 90, 10756–10770.

 
 

336. Glass Cannula for Bulb-to-Bulb Cold Transfer

Kaylin N. Flesch, Tyler J. Fulton, Nathan Hart, and Brian M. Stoltz. Org. Synth. 2025, 102, 303-314.

 
 

335. Synthesis of the Pentacyclic Core of Sanguinone B Enabled by Alkyne Functionalization

Jonathan Farhi, Samir P. Rezgui, Hao Yu, and Brian M. Stoltz. Org. Lett. 2025, 27, 5390–5393.

 
 

334. Direct, Convergent α-Amidation of β-Keto Esters via Nickelocene Catalysis

Kimberly R. Sharp, Sara Y. Siddiqui, Emily G. Nikas, and Brian M. Stoltz. Org. Lett., 2025, 27, 6380–6384.

 
 

333. A Modular Cyclopentene Annulation

Adrian E. Samkian, Kasam Poonswat, Scott C. Virgil, and Brian M. Stoltz. Org. Lett., 2025, 27, 5876–5879.

 
 

332. Formation of vicinal secondary and all-carbon quaternary stereocenters in enantioenriched diazenes via branched-selective Pd-catalyzed allylic alkylation

Adam J. Zoll, Chloe S. Cerione, Scott C. Virgil, and Brian M. Stoltz. Tetrahedron Lett., 2025, 165–166, 155657.

 
 

331. Concise Total Synthesis of the Cage-Like Sesquiterpenoid (+)-Daphnepapytone A

Elijah C. Gonzalez, Isabel de la Torre Roehl, and Brian M. Stoltz. Chem. Sci. 2025, 16, 11381–11385.

 
 

330. Asymmetric Total Synthesis of (–)-Crotonine G and (–)-Crotonolide D

Hao Yu, Yutaro Hatano, Peng-Jui Chen, Scott Virgil, and Brian M. Stoltz. J. Am. Chem. Soc. 2025, 147, 22358–22362.

 
 

329. On the unexpected formation of [2.2.1]- and [2.1.1]homotriblattanes

Adrian E. Samkian, Hanh T. Nguyen, Christopher D. Vanderwal, and Brian M. Stoltz. Tetrahedron Lett., 2025, 164, 155591.

 
 

328. Enantioselective Spirocyclization of Pd-Enolates and Isocyanates

Jay P. Barbor, Kaylin N. Flesch, Melinda Chan, Hannah R. Ang, and Brian M. Stoltz. Angew. Chem. Int. Ed. 2025, 64, e202502583.

 
 

327. Potassium tert-butoxide Mediated Stereoselective/Direct Mannich Reaction of α-Substituted-γ-Lactams with in situ Generated Aryl N-Silyl Imines

Tyler D. Casselman, Mithun Madhusudhanan, Binh Khanh Mai, Peng Liu, and Brian M. Stoltz. Chem. Sci. 2025, 16, 9863–9871.

 
 

326. Enantioselective Michael Spirocyclization of Palladium Enolates

Christian S. Strong, Peng-Jui Chen, Sanzhar Bissenali, William A. Goddard III, and Brian M. Stoltz. ACS Catal. 2025, 15, 12231–12237.

 
 

325. Mo-Catalyzed Asymmetric Allylic Alkylation Enabling the Construction of Highly Enantioenriched 1,4-Dicarbonyl Scaffolds

Chloe S. Cerione*, Farbod A. Moghadam*, and Brian M. Stoltz. J. Am. Chem. Soc. 2025, ASAP.

 
 

324. Concise Syntheses of Lycojapomine Alkaloids Enabled by Radical Dearomatization of a Pyrrole

Benjamin M. Gross and Brian M. Stoltz. J. Am. Chem. Soc. 2025, 147, 20200–20204.

 
 

2024

323. Total synthesis of (–)-cylindrocyclophane A facilitated by C–H functionalization

Aaron T. Bosse, Liam R. Hunt, Camila A. Suarez, Tyler D. Casselman, Elizabeth L. Goldstein, Austin C. Wright, Hojoon Park, Scott C. Virgil, Jin-Quan Yu, Brian M. Stoltz, and Huw M. L. Davies. Science 2024, 386, 641–646.

 
 

322. Formation of All-Carbon Quaternary Centers via Enantioselective Pd-Catalyzed α-Vinylation of γ-Lactams

Farbod A. Moghadam*, Jay P. Barbor*, Melinda Chan*, Carina Jette, Shunya Sakurai, and Brian M. Stoltz. Org. Lett. 2024, 26, 7551–7554

 
 

321. Enantioselective Nickel-Catalyzed α-Spirocyclization of Lactones

Allison M. Stanko, Melissa Ramirez, Adrian J. de Almenara, Scott C. Virgil, and Brian M. Stoltz. Org. Lett. 2024, 26, 6793–6797.

320. Systematic Route to Construct the 5–5–6 Tricyclic Core of Furanobutenolide-Derived Cembranoids and Norcembranoids

Melinda Chan, Nicholas J. Hafeman, Tyler J. Fulton, and Brian M. Stoltz. Org. Lett. 2024, 26, 6320–6323.

 
 

319. Total Synthesis of Hypersampsone M

Adrian E. Samkian, Scott C. Virgil, and Brian M. Stoltz. J. Am. Chem. Soc. 2024, 146, 18886–18891.

 
 

318. Strategies for the Development of Asymmetric and Non-Directed Petasis Reactions

Kevin J. Gonzalez, Chloe Cerione, and Brian M. Stoltz. Chem. Eur. J. 2024, e202401936.

 
 

317. Evolution of a Synthetic Strategy toward the Syntheses of Bis-tetrahydroisoquinoline Alkaloids

Aurapat Ngamnithiporn, Eric R. Welin, Gerit Pototschnig, and Brian M. Stoltz. Acc. Chem. Res. 2024, 57, 1870–1884.

 
 

316. Molecular Dynamics Investigations of Dienolate [4 + 2] Reactions

Peng-Jui Chen*, Alexander Q. Cusumano*, Kaylin N. Flesch, Christian Santiago Strong, William A. Goddard III, and Brian M. Stoltz. J. Am. Chem. Soc. 2024, 146, 12758–12765.

 
 

315. Convenient access to a strained bicyclic enone: A concise and improved formal synthesis of ineleganolide

Benjamin M. Gross and Brian M. Stoltz. Tetrahedron Lett. 2024, 140, 155011

[Invited contribution in honor of Professor Thomas Maimone, recipient of the 2024 Tetrahedron Young Investigator Award.]

 
 

314. Divergent Total Syntheses of Pyrroloiminoquinone Alkaloids Enabled by the Development of a Larock/Buchwald–Hartwig Annulation/Cyclization

Samir P. Rezgui, Jonathan Farhi, Hao Yu, Zachary P. Sercel, Scott C. Virgil, and Brian M. Stoltz. Chem. Sci. 2024, 15, 12284–12290.

[This article is part of the themed collection: 2024 Chemical Science HOT Article Collection]

 
 

313. Enantioselective Total Synthesis of (–)-Hunterine A Enabled by a Desymmetrization/Rearrangement Strategy

Elliot F. Hicks, Kengo Inoue, Brian M. Stoltz. J. Am. Chem. Soc. 2024, 146, 4340-4345.

 
 

312. Low Part-Per-Trillion, Humidity Resistant Detection of Nitric Oxide Using Microtoroid Optical Resonators

Yinchao Xu, Allison Stanko, Chloe Cerione, Trevor Lohrey, Euan McLeod, Brian Stoltz, Judith Su. ACS Appl. Mater. Interfaces 2024, 16, 5120–5128.

 
 

2023

311. Particle-phase accretion forms dimer esters in pinene secondary organic aerosol

Christopher M. Kenseth, Nicholas J. Hafeman, Samir P. Rezgui, Jing Chen, Yuanlong Huang, Nathan F. Dalleska, Henrik G. Kjaergaard, Brian M. Stoltz, John H. Seinfeld, and Paul O. Wennberg. Science. 2023, 382, 787-792.

 
 

310. Total Synthesis of Aleutianamine

Hao Yu*, Zachary Sercel*, Samir Rezgui, Jonathan Farhi, Scott Virgil, and Brian Stoltz. J. Am. Chem. Soc. 2023, 145, 47, 25533–25537.

 
 

309. Origins of Enhanced Enantioselectivity in the Pd-Catalyzed Decarboxylative Allylic Alkylation of N-Benzoyl Lactams

Alexander Q. Cusumano, Tianyi Zhang , William A. Goddard III and Brian M. Stoltz. Catalysts. 2023, 13, 1258.

 
 

308. Enantioselective 1,3-Dipolar Cycloadditions of α‑Methylene Lactams to Construct Spirocycles

Yuji Nishiura, Kevin J. Gonzalez, Alexander Q. Cusumano and Brian M. Stoltz. Org. Lett. 2023, 25, 6469–6473.

 
 
 
 

306. Recent Advances in the Total Synthesis of the Tetrahydroisoquinoline Alkaloids (2002–2020)

Alexia N. Kim, Aurapat Ngamnithiporn, Emily Du, and Brian M. Stoltz. Chem. Rev. 2023, 123, 9447–9496.

 
 

305. Development of a Nickel-Catalyzed N–N Coupling for the Synthesis of Hydrazides

Jay P. Barbor, Vaishnavi N. Nair, Kimberly R. Sharp, Trevor D. Lohrey, Sara E. Dibrell, Tejas K. Shah, Martin J. Walsh, Sarah E. Reisman, and Brian M. Stoltz. J. Am. Chem. Soc. 2023, 145, 15071–15077.

 
 

304. Tandem Dearomatization/Enantioselective Allylic Alkylation of Pyridines

Steffen Greßies, Lars Süße, Tyler Casselman, and Brian M. Stoltz. J. Am. Chem. Soc. 2023, 145, 11907-11913.

 
 

303. Divergent Catalysis: Catalytic Asymmetric [4+2] Cycloaddition of Palladium Enolates

Kaylin N. Flesch*, Alexander Q. Cusumano*, Peng-Jui Chen, Christian Santiago Strong, Stephen R. Sardini, Yun E. Du, Michael D. Bartberger, William A. Goddard III, Brian M. Stoltz. J. Am. Chem. Soc. 2023, 145, 11301–11310. [* denotes equal contribution]

 
 

302. Total Synthesis of Strempeliopidine and Non-Natural Stereoisomers through a Convergent Petasis Borono–Mannich Reaction

Alexander W. Rand, Kevin J. Gonzalez, Christopher E. Reimann, Scott C. Virgil, Brian M. Stoltz. J. Am. Chem. Soc. 2023, 145, 7278–7287. [highlighted in OPR&D]

 
 

301. Total synthesis of (−)-scabrolide A and (−)-yonarolide

Nicholas J. Hafeman, Steven A. Loskot, Christopher E. Reimann, Beau P. Pritchett, Scott C. Virgil, Brian M. Stoltz. Chem. Sci., 2023, 14, 4745–4758.

300. Accretion Product Formation in the Self-Reaction of Ethene-Derived Hydroxy Peroxy Radicals

Sara Edinger Murphy , John D. Crounse , Kristian H. Møller , Samir Rezgui , Nicholas J Hafeman , James Park , Henrik Kjaergaard , Brian M. Stoltz and Paul O Wennberg. Environ. Sci.: Atmos., 2023, 3, 882–893.

299. A Convergent Total Synthesis of (+)-Ineleganolide

Benjamin M. Gross, Seo-Jung Han, Scott C. Virgil, Brian M. Stoltz. J. Am. Chem. Soc., 2023, 145, 7763–7767.

 
 

298. Development of a Non-Directed Petasis-Type Reaction by an Aromaticity-Disrupting Strategy

Kevin J. Gonzalez, Alexander W. Rand, Brian M. Stoltz. Angew. Chem. Int. Ed., 2023, 62, e202218921.

 
 

297. What is a cross-coupling? An argument for a universal definition

Christopher E. Reimann, Kelly E. Kim, Alexander W. Rand, Farbod A. Moghadam, and Brian M. Stoltz. Tetrahedron., 2023, 130, 133176.

 
 

2022

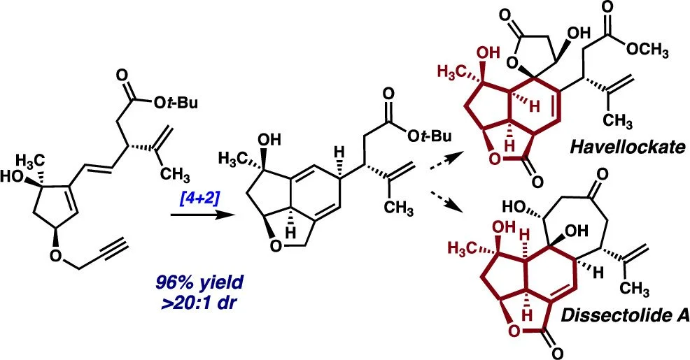
296. Asymmetric Total Synthesis of Havellockate

Nicholas J. Hafeman*, Melinda Chan*, Tyler J. Fulton, Eric J. Alexy, Steven A. Loskot, Scott. C. Virgil, and Brian M. Stoltz. J. Am. Chem. Soc., 2022, 144, 20232-20236. [* denotes equal contribution]

 
 

295. Investigations of an Unexpected [2+2] Photocycloaddition in the Synthesis of (−)-Scabrolide A from Quantum Mechanics Calculations

Tianyi Zhang*, Alexander Q. Cusumano*, Nicholas J. Hafeman, Steven A. Loskot, Christopher E. Reimann, Scott C. Virgil, William A. Goddard III, and Brian M. Stoltz. J. Org. Chem., 2022, 87, 14115-14124. [* denotes equal contribution]

 
 

294. Synthesis of enantioenriched 2,2-disubstituted pyrrolidines via sequential asymmetric allylic alkylation and ring contraction

Elizabeth L. Goldstein, Hirokazu Takada, Yuji Sumii, Katsuaki Baba, Brian M. Stoltz. Tetrahedron 2022, 132940.

 
 

293. Part-per-Trillion Trace Selective Gas Detection Using Frequency Locked Whispering-Gallery Mode Microtoroids

Cheng Li, Trevor Lohrey, Phuong-Diem Nguyen, Zhouyang Min, Yisha Tang, Chang Ge, Zachary P. Sercel, Euan McLeod, Brian M. Stoltz, Judith Su. ACS Appl. Mater. Interfaces 2022, 14, 42430–42440.

292. Ir-Catalyzed Asymmetric Allylic Alkylation of Dialkyl Malonates Enabling the Construction of Enantioenriched All-Carbon Quaternary Centers

Farbod A. Moghadam,* Elliot F. Hicks,* Zachary P Sercel, Alexander Q. Cusumano, Michael D. Bartberger, Brian M. Stoltz. J. Am. Chem. Soc. 2022, 144, 7983–7987

[* denotes equal contribution]

 
 

291. Iridium-Catalyzed Asymmetric trans-Selective Hydrogenation of 1,3-Disubstituted Isoquinolines

Alexia N. Kim, Aurapat Ngamnithiporn, Michael D. Bartberger, Brian M. Stoltz. Chem. Sci. 2022, 13, 3227-3232.

[Highlighted in Synfacts]

 
 

290. Isotope effects at the origin of life: Fingerprints of the Strecker synthesis

L. Chimiak, J. Eiler, A. Sessions, C. Blumenfeld, M. Klatte, Brian M. Stoltz. Geochimica et Cosmochimica Acta 2022, 321, 78–98.

 
 

289. Some Unusual Transformations of a Highly Reactive α-Bromocaranone

Adrian E. Samkian, Zachary P. Sercel, Scott C. Virgil, Brian M. Stoltz. Tetrahedron Lett. 2022, 89, 153496.

 
 

2021

288. Late-Stage Diversification: A Motivating Force in Organic Synthesis

Kelly E. Kim, Alexia N. Kim, Carter J. McCormick, Brian M. Stoltz. J. Am. Chem. Soc. 2021, 143, 16890–1690.

 
ja1c08920_0016.jpeg
 

287. Synthesis of Enantioenriched gem-Disubstituted 4-Imidazolidinones by Palladium-Catalyzed Decarboxylative Asymmetric Allylic Alkylation

Zachary P. Sercel, Alexander W. Sun, Brian M. Stoltz Org. Lett. 2021, 23, 6348-6351.

 
Screen Shot 2021-08-04 at 2.09.09 PM.png
 

286. Identifying the Imperative Role of Metal–Olefin Interactions in Catalytic C–O Reductive Elimination from Nickel(II)

Trevor D. Lohrey, Alexander Q. Cusumano, William A. Goddard III, Brian M. Stoltz ACS Catal. 2021, 11, 10208–10222.

 
Screen Shot 2021-08-02 at 10.03.05 AM.png
 

285. Synthetic strategy toward ineleganolide: A cautionary tale

Alexander Q. Cusumano, K. N. Houk, Brian M. Stoltz Tetrahedron, 2021, 93, 132289.

[Invited submission in honor of Prof. Dale L. Boger]

 
 

284. The Enantioselective Synthesis of Eburnamonine, Eucophylline, and 16’-epi-Leucophyllidine

Christopher E. Reimann, Aurapat Ngamnithiporn, Kohei Hayashida, Daisuke Saito, Katerina M. Korch, Brian M. Stoltz Angew. Chem. Int. Ed. 2021, 60, 17957-17962.

 
Screen Shot 2021-05-26 at 8.46.49 AM.png
 

283. Preparation of (S)-tert-ButylPyOx and Palladium-Catalyzed Asymmetric Conjugate Addition of Arylboronic Acids

Stephen R. Sardini, Brian M. Stoltz Org. Synth. 2021, 98, 117–130.

282. Discovery of novel modulators for the PPARα (peroxisome proliferator activated receptor α): Potential therapies for nonalcoholic fatty liver disease

Donna D. Yu, Gregg Van Citters, Hongzhi Li, Brian M. Stoltz, and Barry M. Forman Bioorg. Med. Chem. 2021, 41, 116193.

 
 

281. A Synthetic Strategy toward Eight-Membered Cyclic Amines by Cycloetherification and Claisen Rearrangement

Seo-Jung Han, Marchello A. Cavitt, Brian M. Stoltz Org. Lett. 2021, 23, 3300–3303.

 
 

280. A covalent p97/VCP ATPase inhibitor can overcome resistance to CB-5083 and NMS-873 in colorectal cancer cells

Gang Zhang, Shan Li, Feng Wang, Amanda C. Jones, Alexander F.G. Goldberg, Benjamin Lin, Scott Virgil, Brian M. Stoltz, Raymond Deshaies, Tsui-en Chou Eur. J. Med. Chem. 2021, 213, 113148.

 
Screen Shot 2021-04-02 at 9.28.27 AM.png
 
 
Screen Shot 2021-02-12 at 9.48.26 AM.png
 
All Publications